Официальное опубликование правовых актов
ОФИЦИАЛЬНОЕ ОПУБЛИКОВАНИЕ
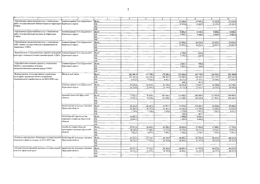
Постановление Правительства Иркутской области от 10.10.2018 № 735-пп
"О внесении изменений в государственную программу Иркутской области "Развитие культуры" на 2014 - 2020 годы"
Номер опубликования: 3800201810120003
Дата опубликования: 12.10.2018
Страница №43 из 46:
Увеличить