Официальное опубликование правовых актов
ОФИЦИАЛЬНОЕ ОПУБЛИКОВАНИЕ
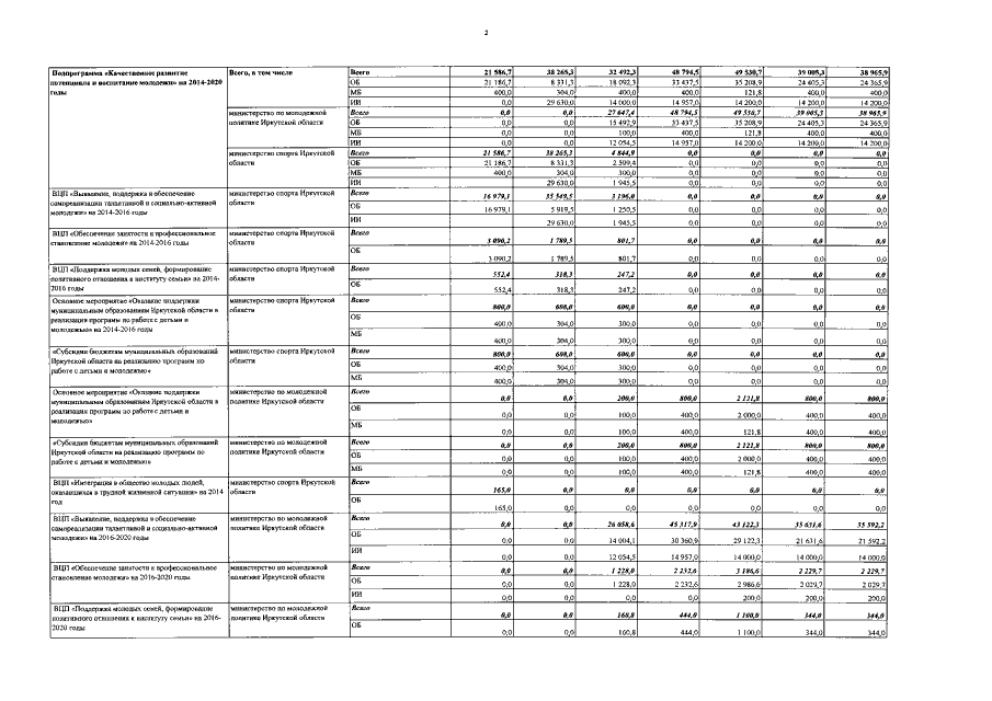
Постановление Правительства Иркутской области от 02.10.2018 № 703-пп
"О внесении изменений в государственную программу Иркутской области "Молодежная политика" на 2014 - 2020 годы"
Номер опубликования: 3800201810040014
Дата опубликования: 04.10.2018
Страница №18 из 29:
Увеличить