Официальное опубликование правовых актов
ОФИЦИАЛЬНОЕ ОПУБЛИКОВАНИЕ
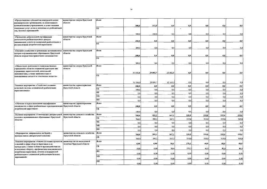
Постановление Правительства Иркутской области от 31.08.2018 № 632-пп
"О внесении изменений в государственную программу Иркутской области "Молодежная политика" на 2014 - 2020 годы"
Номер опубликования: 3800201809040001
Дата опубликования: 04.09.2018
Страница №32 из 33:
Увеличить