Официальное опубликование правовых актов
ОФИЦИАЛЬНОЕ ОПУБЛИКОВАНИЕ
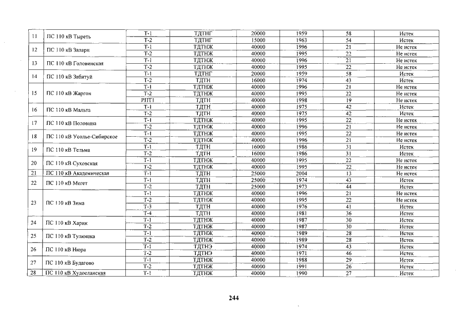
Указ Губернатора Иркутской области от 21.08.2018 № 161-уг
"Об утверждении схемы и программы развития электроэнергетики Иркутской области на 2019-2023 годы"
Номер опубликования: 3800201808290002
Дата опубликования: 29.08.2018
Страница №245 из 278:
Увеличить