Официальное опубликование правовых актов
ОФИЦИАЛЬНОЕ ОПУБЛИКОВАНИЕ
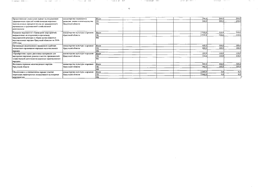
Постановление Правительства Иркутской области от 23.08.2018 № 621-пп
"О внесении изменений в государственную программу Иркутской области "Реализация государственной национальной политики в Иркутской области" на 2014-2020 годы"
Номер опубликования: 3800201808270001
Дата опубликования: 27.08.2018
Страница №38 из 77:
Увеличить