Официальное опубликование правовых актов
ОФИЦИАЛЬНОЕ ОПУБЛИКОВАНИЕ
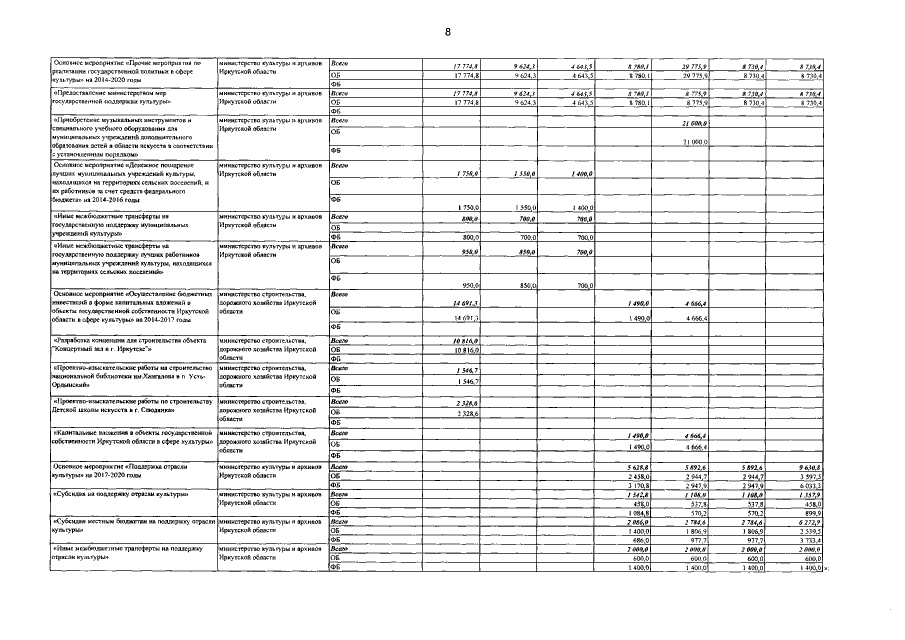
Постановление Правительства Иркутской области от 23.08.2018 № 619-пп
"О внесении изменений в государственную программу Иркутской области "Развитие культуры" на 2014 - 2020 годы"
Номер опубликования: 3800201808240015
Дата опубликования: 24.08.2018
Страница №25 из 39:
Увеличить