Официальное опубликование правовых актов
ОФИЦИАЛЬНОЕ ОПУБЛИКОВАНИЕ
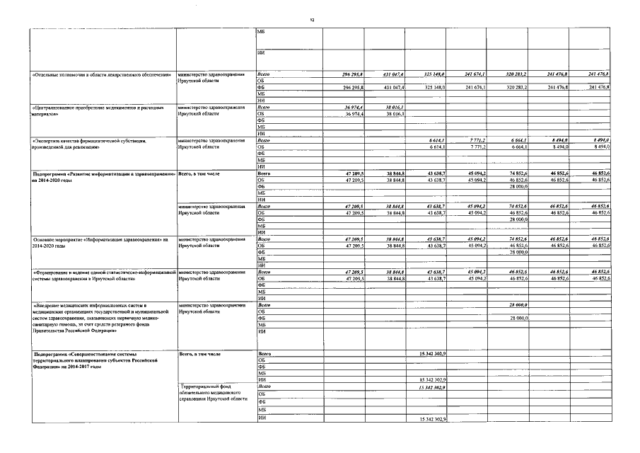
Постановление Правительства Иркутской области от 06.08.2018 № 564-пп
"О внесении изменений в государственную программу Иркутской области "Развитие здравоохранения" на 2014 - 2020 годы"
Номер опубликования: 3800201808090001
Дата опубликования: 09.08.2018
Страница №52 из 78:
Увеличить