Официальное опубликование правовых актов
ОФИЦИАЛЬНОЕ ОПУБЛИКОВАНИЕ
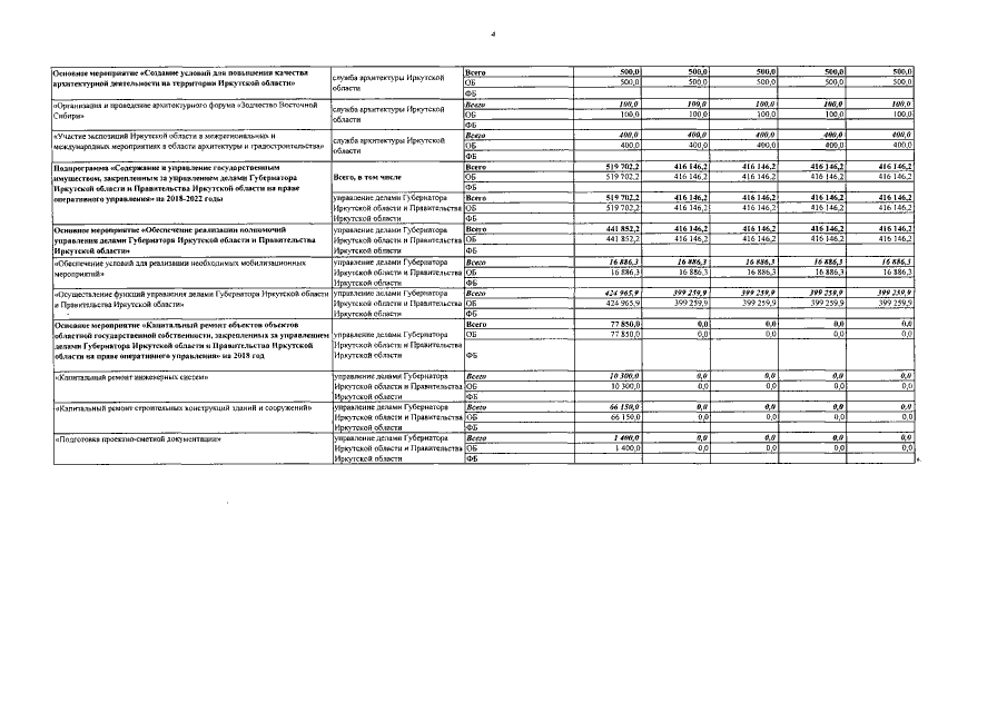
Постановление Правительства Иркутской области от 06.08.2018 № 561-пп
"О внесении изменений в государственную программу Иркутской области "Развитие и управление имущественным комплексом и земельными ресурсами Иркутской области" на 2018 - 2022 годы"
Номер опубликования: 3800201808070010
Дата опубликования: 07.08.2018
Страница №5 из 11:
Увеличить