Официальное опубликование правовых актов
ОФИЦИАЛЬНОЕ ОПУБЛИКОВАНИЕ
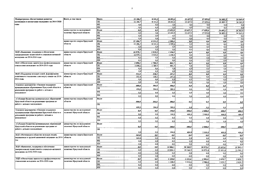
Постановление Правительства Иркутской области от 26.06.2018 № 459-пп
"О внесении изменений в государственную программу Иркутской области "Молодежная политика" на 2014 - 2020 годы"
Номер опубликования: 3800201806290002
Дата опубликования: 29.06.2018
Страница №36 из 62:
Увеличить