Официальное опубликование правовых актов
ОФИЦИАЛЬНОЕ ОПУБЛИКОВАНИЕ
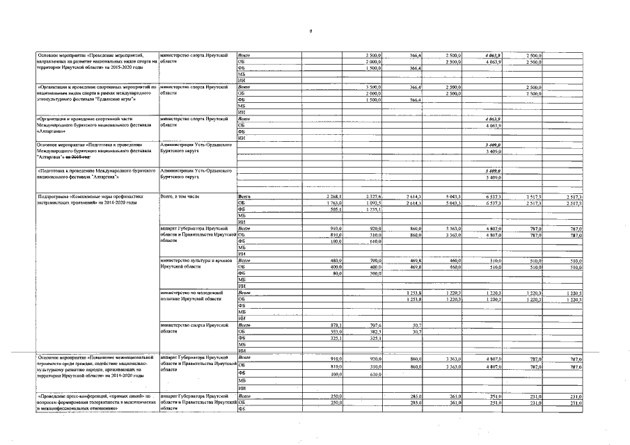
Постановление Правительства Иркутской области от 08.05.2018 № 349-пп
"О внесении изменений в государственную программу Иркутской области "Реализация государственной национальной политики в Иркутской области" на 2014-2020 годы"
Номер опубликования: 3800201805140007
Дата опубликования: 14.05.2018
Страница №46 из 51:
Увеличить