Официальное опубликование правовых актов
ОФИЦИАЛЬНОЕ ОПУБЛИКОВАНИЕ
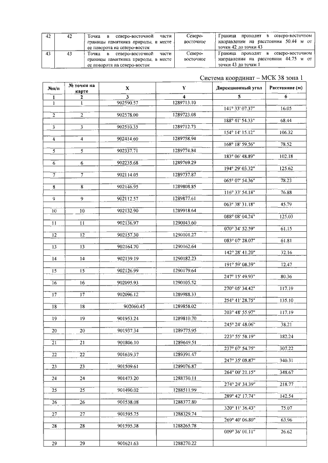
Постановление Правительства Иркутской области от 26.04.2018 № 308-пп
"О памятнике природы регионального значения "Солонецкое озеро"
Номер опубликования: 3800201804270014
Дата опубликования: 27.04.2018
Страница №9 из 11:
Увеличить