Официальное опубликование правовых актов
ОФИЦИАЛЬНОЕ ОПУБЛИКОВАНИЕ
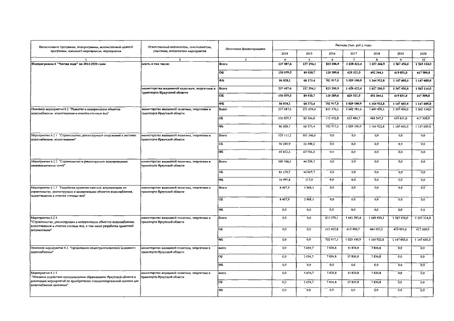
Постановление Правительства Иркутской области от 13.04.2018 № 274-пп
"О внесении изменений в отдельные постановления Правительства Иркутской области"
Номер опубликования: 3800201804190003
Дата опубликования: 19.04.2018
Страница №54 из 88:
Увеличить