Официальное опубликование правовых актов
ОФИЦИАЛЬНОЕ ОПУБЛИКОВАНИЕ
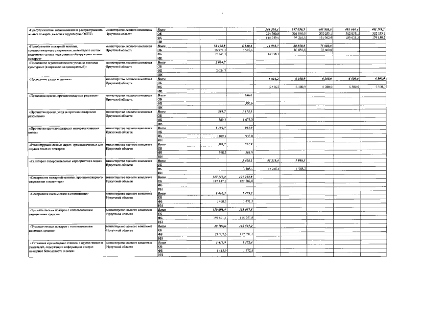
Постановление Правительства Иркутской области от 13.04.2018 № 275-пп
"О внесении изменений в государственную программу Иркутской области "Охрана окружающей среды" на 2014-2020 годы"
Номер опубликования: 3800201804170007
Дата опубликования: 17.04.2018
Страница №18 из 37:
Увеличить