Официальное опубликование правовых актов
ОФИЦИАЛЬНОЕ ОПУБЛИКОВАНИЕ
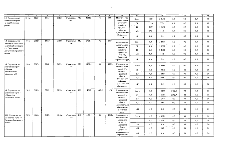
Постановление Правительства Иркутской области от 28.03.2018 № 227-пп
"О внесении изменений в государственную программу Иркутской области "Развитие сельского хозяйства и регулирование рынков сельскохозяйственной продукции, сырья и продовольствия" на 2014 - 2020 годы"
Номер опубликования: 3800201803290012
Дата опубликования: 29.03.2018
Страница №22 из 147:
Увеличить