Официальное опубликование правовых актов
ОФИЦИАЛЬНОЕ ОПУБЛИКОВАНИЕ
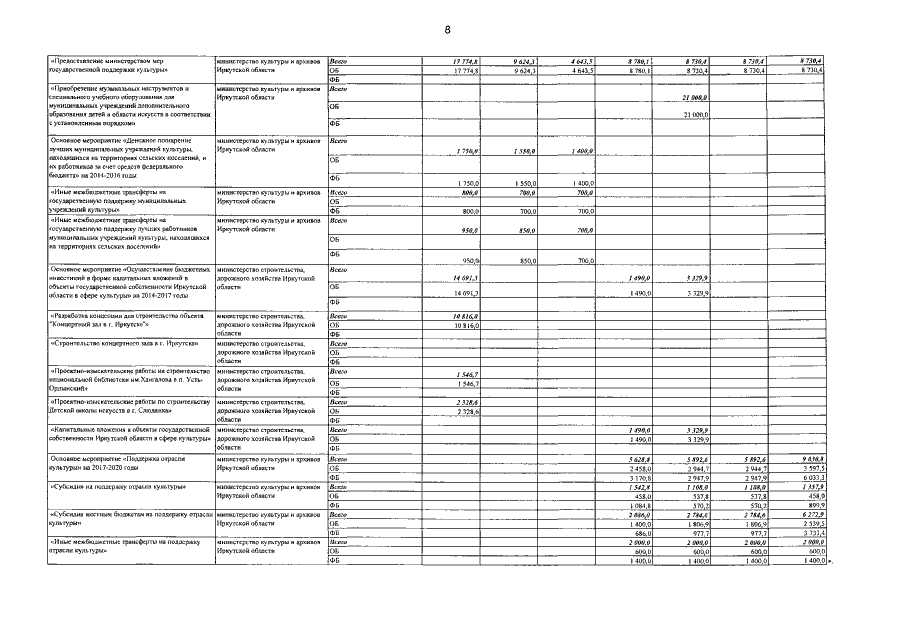
Постановление Правительства Иркутской области от 27.02.2018 № 154-пп
"О внесении изменений в государственную программу Иркутской области "Развитие культуры" на 2014- 2020 годы"
Номер опубликования: 3800201803020009
Дата опубликования: 02.03.2018
Страница №34 из 43:
Увеличить