Официальное опубликование правовых актов
ОФИЦИАЛЬНОЕ ОПУБЛИКОВАНИЕ
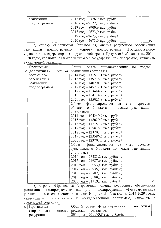
Постановление Правительства Иркутской области от 22.02.2018 № 141-пп
"О внесении изменений в государственную программу Иркутской области "Охрана окружающей среды" на 2014-2020 годы"
Номер опубликования: 3800201802280002
Дата опубликования: 28.02.2018
Страница №6 из 64:
Увеличить