Официальное опубликование правовых актов
ОФИЦИАЛЬНОЕ ОПУБЛИКОВАНИЕ
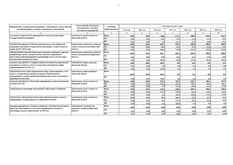
Постановление Правительства Иркутской области от 20.02.2018 № 129-пп
"О внесении изменений в государственную программу Иркутской области "Труд и занятость" на 2014 - 2020 годы"
Номер опубликования: 3800201802220008
Дата опубликования: 22.02.2018
Страница №9 из 21:
Увеличить