Официальное опубликование правовых актов
ОФИЦИАЛЬНОЕ ОПУБЛИКОВАНИЕ
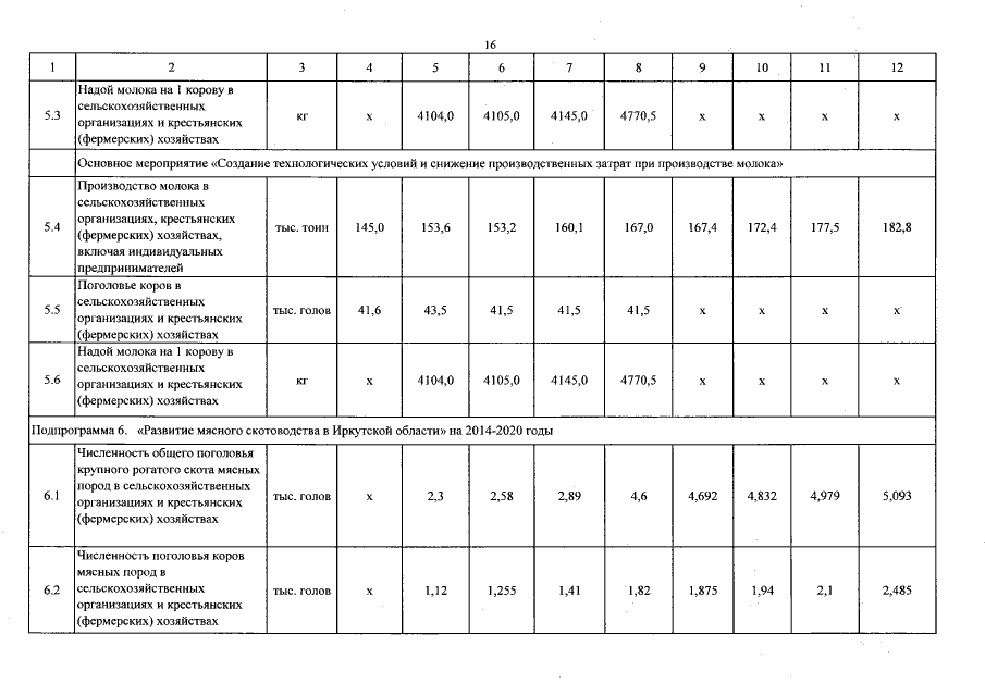
Постановление Правительства Иркутской области от 13.02.2018 № 99-пп
"О внесении изменений в государственную программу Иркутской области "Развитие сельского хозяйства и регулирование рынков сельскохозяйственной продукции, сырья и продовольствия" на 2014 - 2020 годы"
Номер опубликования: 3800201802150003
Дата опубликования: 15.02.2018
Страница №79 из 188:
Увеличить