Официальное опубликование правовых актов
ОФИЦИАЛЬНОЕ ОПУБЛИКОВАНИЕ
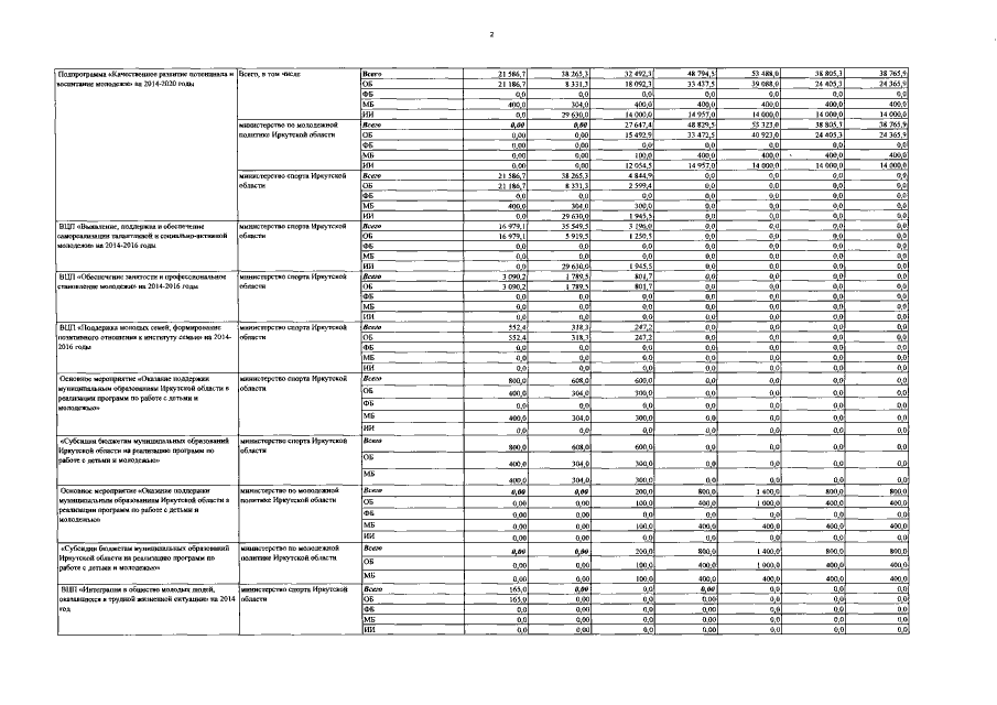
Постановление Правительства Иркутской области от 02.02.2018 № 62-пп
"О внесении изменений в государственную программу Иркутской области "Молодежная политика" на 2014 - 2020 годы"
Номер опубликования: 3800201802080002
Дата опубликования: 08.02.2018
Страница №20 из 33:
Увеличить