Официальное опубликование правовых актов
ОФИЦИАЛЬНОЕ ОПУБЛИКОВАНИЕ
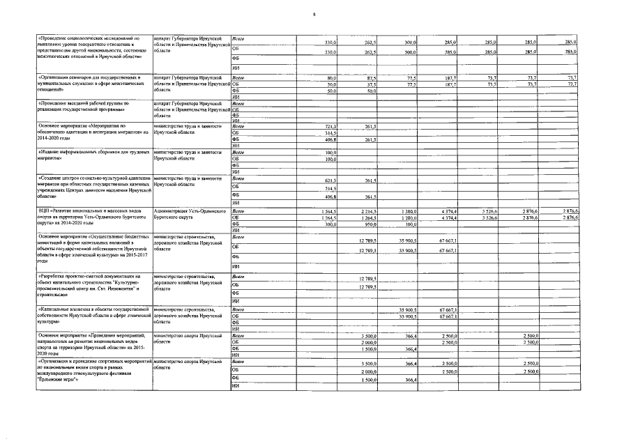
Постановление Правительства Иркутской области от 30.01.2018 № 43-пп
"О внесении изменений в государственную программу Иркутской области "Реализация государственной национальной политики в Иркутской области" на 2014-2020 годы"
Номер опубликования: 3800201802010009
Дата опубликования: 01.02.2018
Страница №9 из 24:
Увеличить