Официальное опубликование правовых актов
ОФИЦИАЛЬНОЕ ОПУБЛИКОВАНИЕ
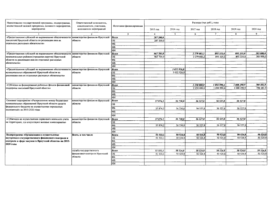
Постановление Правительства Иркутской области от 28.12.2017 № 903-пп
"О внесении изменений в государственную программу Иркутской области "Управление государственными финансами Иркутской области" на 2015 – 2020 годы"
Номер опубликования: 3800201712290024
Дата опубликования: 29.12.2017
Страница №12 из 13:
Увеличить