Официальное опубликование правовых актов
ОФИЦИАЛЬНОЕ ОПУБЛИКОВАНИЕ
Постановление Правительства Иркутской области от 15.12.2017 № 836-пп
"О внесении изменений в отдельные постановления Правительства Иркутской области"
Номер опубликования: 3800201712210004
Дата опубликования: 21.12.2017
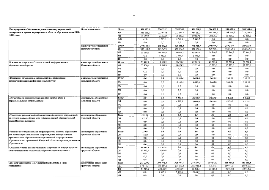
Страница №56 из 61:
Увеличить