Официальное опубликование правовых актов
ОФИЦИАЛЬНОЕ ОПУБЛИКОВАНИЕ
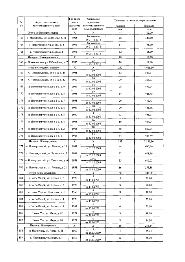
Постановление Правительства Иркутской области от 15.12.2017 № 837-пп
"О внесении изменений в государственную программу Иркутской области "Доступное жилье" на 2014 – 2020 годы"
Номер опубликования: 3800201712190004
Дата опубликования: 19.12.2017
Страница №18 из 69:
Увеличить