Официальное опубликование правовых актов
ОФИЦИАЛЬНОЕ ОПУБЛИКОВАНИЕ
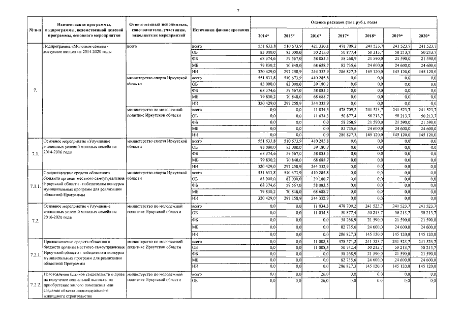
Постановление Правительства Иркутской области от 14.11.2017 № 735-пп
"О внесении изменений в государственную программу Иркутской области "Доступное жилье" на 2014 - 2020 годы"
Номер опубликования: 3800201711220013
Дата опубликования: 22.11.2017
Страница №63 из 69:
Увеличить