Официальное опубликование правовых актов
ОФИЦИАЛЬНОЕ ОПУБЛИКОВАНИЕ
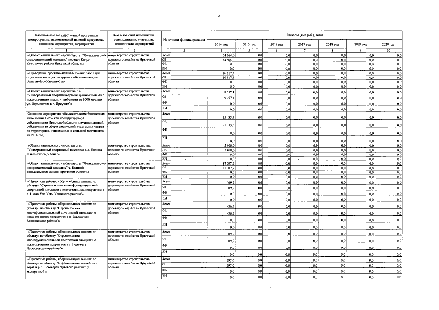
Постановление Правительства Иркутской области от 09.11.2017 № 715-пп
"О внесении изменений в государственную программу Иркутской области "Развитие физической культуры и спорта" на 2014 - 2020 годы"
Номер опубликования: 3800201711140003
Дата опубликования: 14.11.2017
Страница №29 из 40:
Увеличить