Официальное опубликование правовых актов
ОФИЦИАЛЬНОЕ ОПУБЛИКОВАНИЕ
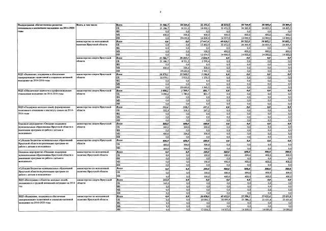
Постановление Правительства Иркутской области от 31.08.2017 № 567-пп
"О внесении изменений в государственную программу Иркутской области "Молодежная политика" на 2014 - 2020 годы"
Номер опубликования: 3800201709050004
Дата опубликования: 05.09.2017
Страница №17 из 29:
Увеличить