Официальное опубликование правовых актов
ОФИЦИАЛЬНОЕ ОПУБЛИКОВАНИЕ
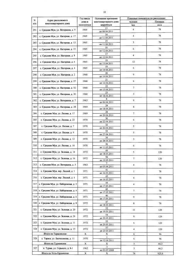
Постановление Правительства Иркутской области от 18.08.2017 № 547-пп
"О внесении изменений в государственную программу Иркутской области "Доступное жилье" на 2014-2020 годы"
Номер опубликования: 3800201708230005
Дата опубликования: 23.08.2017
Страница №23 из 62:
Увеличить