Официальное опубликование правовых актов
ОФИЦИАЛЬНОЕ ОПУБЛИКОВАНИЕ
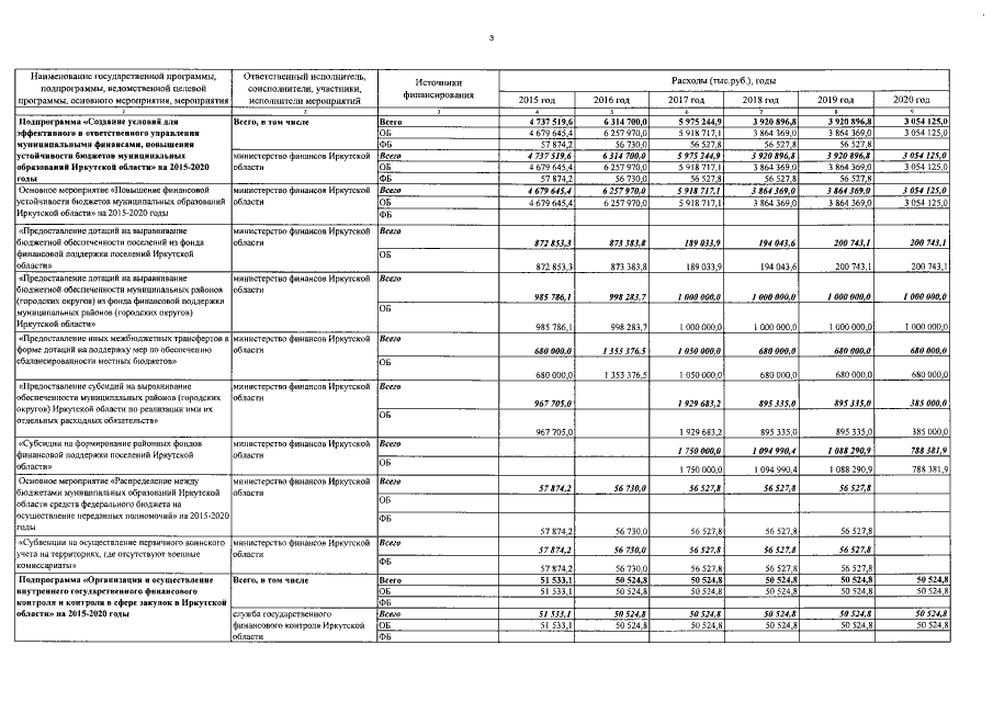
Постановление Правительства Иркутской области от 14.06.2017 № 391-пп
"О внесении изменений в государственную программу Иркутской области "Управление государственными финансами Иркутской области" на 2015 – 2020 годы"
Номер опубликования: 3800201706150004
Дата опубликования: 15.06.2017
Страница №9 из 15:
Увеличить