Официальное опубликование правовых актов
ОФИЦИАЛЬНОЕ ОПУБЛИКОВАНИЕ
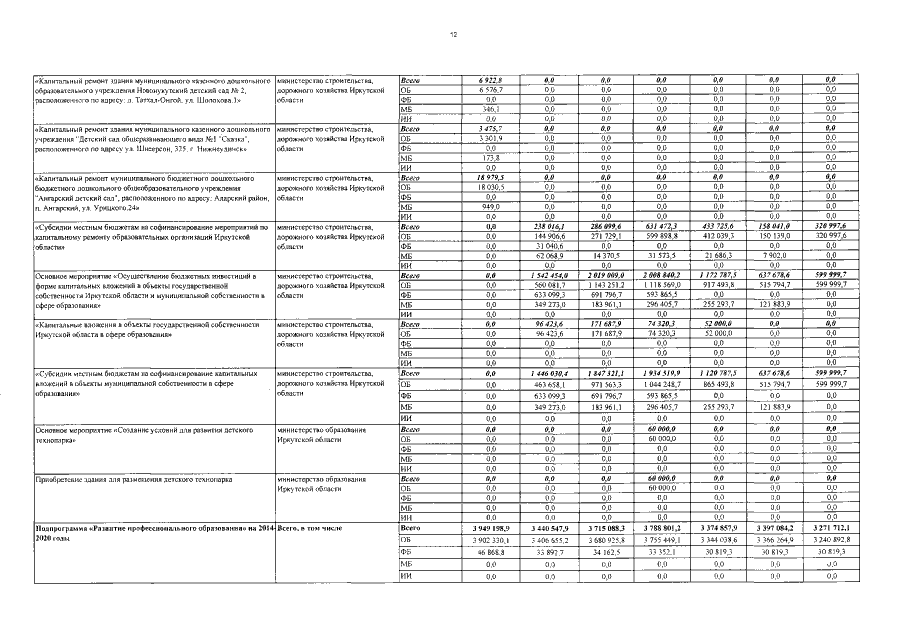
Постановление Правительства Иркутской области от 06.06.2017 № 370-пп
"О внесении изменений в государственную программу Иркутской области "Развитие образования" на 2014 – 2020 годы"
Номер опубликования: 3800201706090004
Дата опубликования: 09.06.2017
Страница №41 из 46:
Увеличить