Официальное опубликование правовых актов
ОФИЦИАЛЬНОЕ ОПУБЛИКОВАНИЕ
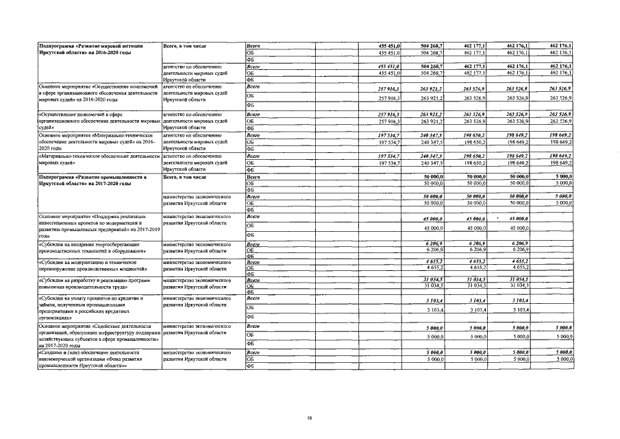
Постановление Правительства Иркутской области от 31.05.2017 № 351-пп
"О внесении изменений в государственную программу Иркутской области "Экономическое развитие и инновационная экономика" на 2015 - 2020 годы"
Номер опубликования: 3800201706020014
Дата опубликования: 02.06.2017
Страница №49 из 73:
Увеличить