Официальное опубликование правовых актов
ОФИЦИАЛЬНОЕ ОПУБЛИКОВАНИЕ
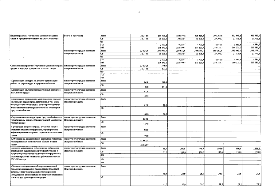
Постановление Правительства Иркутской области от 14.04.2017 № 245-пп
"О внесении изменений в государственную программу Иркутской области "Труд и занятость" на 2014-2020 годы"
Номер опубликования: 3800201704190008
Дата опубликования: 19.04.2017
Страница №11 из 18:
Увеличить