Официальное опубликование правовых актов
ОФИЦИАЛЬНОЕ ОПУБЛИКОВАНИЕ
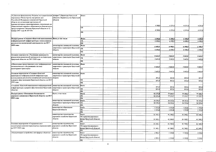
Постановление Правительства Иркутской области от 27.03.2017 № 185-пп
"О внесении изменений в государственную программу Иркутской области "Обеспечение комплексных мер противодействия чрезвычайным ситуациям природного и техногенного характера, построение и развитие аппаратно-программного комплекса "Безопасный город" на 2014-2020 годы"
Номер опубликования: 3800201704030007
Дата опубликования: 03.04.2017
Страница №44 из 72:
Увеличить