Официальное опубликование правовых актов
ОФИЦИАЛЬНОЕ ОПУБЛИКОВАНИЕ
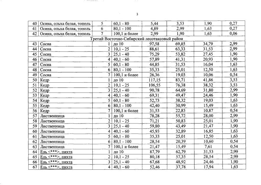
Постановление Правительства Иркутской области от 15.03.2017 № 152-пп
"О внесении изменения в приложение к постановлению администрации Иркутской области от 29 декабря 2007 года № 304-па"
Номер опубликования: 3800201703220005
Дата опубликования: 22.03.2017
Страница №4 из 11:
Увеличить