Официальное опубликование правовых актов
ОФИЦИАЛЬНОЕ ОПУБЛИКОВАНИЕ
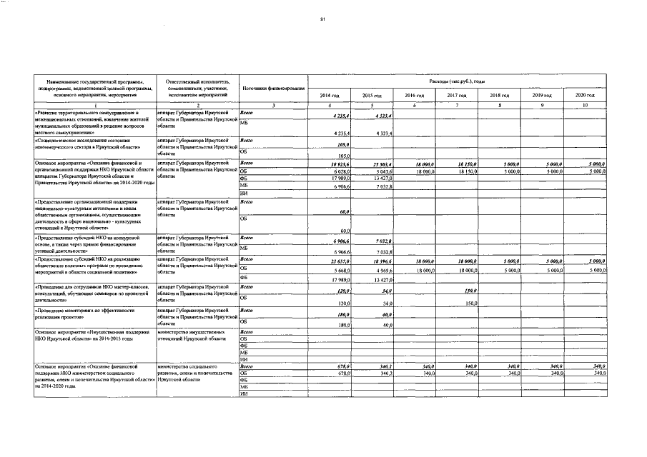
Постановление Правительства Иркутской области от 14.03.2017 № 144-пп
"О внесении изменений в государственную программу Иркутской области "Социальная поддержка населения" на 2014-2020 годы"
Номер опубликования: 3800201703160003
Дата опубликования: 16.03.2017
Страница №130 из 144:
Увеличить