Официальное опубликование правовых актов
ОФИЦИАЛЬНОЕ ОПУБЛИКОВАНИЕ
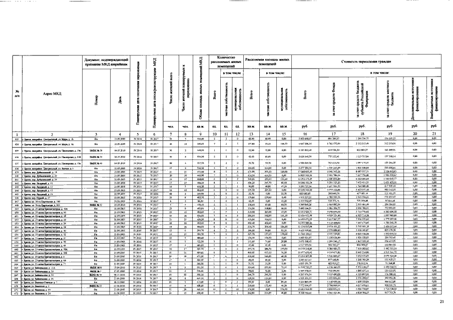
Постановление Правительства Иркутской области от 09.01.2017 № 1-пп
"О внесении изменения в региональную адресную программу Иркутской области "Переселение граждан, проживающих на территории Иркутской области, из аварийного жилищного фонда, признанного непригодным для проживания, в 2013 - 2017 годах"
Номер опубликования: 3800201701170002
Дата опубликования: 17.01.2017
Страница №40 из 96:
Увеличить