Официальное опубликование правовых актов
ОФИЦИАЛЬНОЕ ОПУБЛИКОВАНИЕ
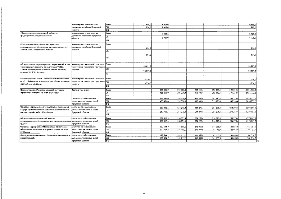
Постановление Правительства Иркутской области от 15.12.2016 № 796-пп
"О внесении изменений в государственную программу Иркутской области "Экономическое развитие и инновационная экономика" на 2015-2020 годы"
Номер опубликования: 3800201612190007
Дата опубликования: 19.12.2016
Страница №39 из 60:
Увеличить