Официальное опубликование правовых актов
ОФИЦИАЛЬНОЕ ОПУБЛИКОВАНИЕ
Постановление Правительства Иркутской области от 13.12.2016 № 784-пп
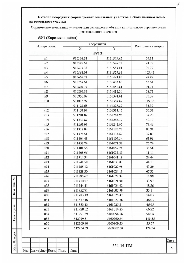
"Об утверждении проекта планировки территории и проекта межевания территории, предназначенной для размещения линейного объекта регионального значения "Строительство автомобильной дороги Киренск-Казачинское на участке км 31+706 – км 65+500 в Киренском и Казачинско – Ленском районах Иркутской области"
Номер опубликования: 3800201612190001
Дата опубликования: 19.12.2016
Страница №96 из 221:
Увеличить