Официальное опубликование правовых актов
ОФИЦИАЛЬНОЕ ОПУБЛИКОВАНИЕ
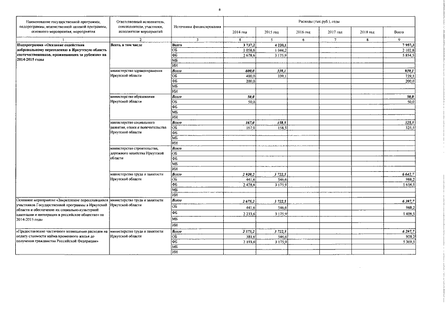
Постановление Правительства Иркутской области от 13.12.2016 № 789-пп
"О внесении изменений в государственную программу Иркутской области "Труд и занятость" на 2014-2018 годы"
Номер опубликования: 3800201612160011
Дата опубликования: 16.12.2016
Страница №21 из 26:
Увеличить