Официальное опубликование правовых актов
ОФИЦИАЛЬНОЕ ОПУБЛИКОВАНИЕ
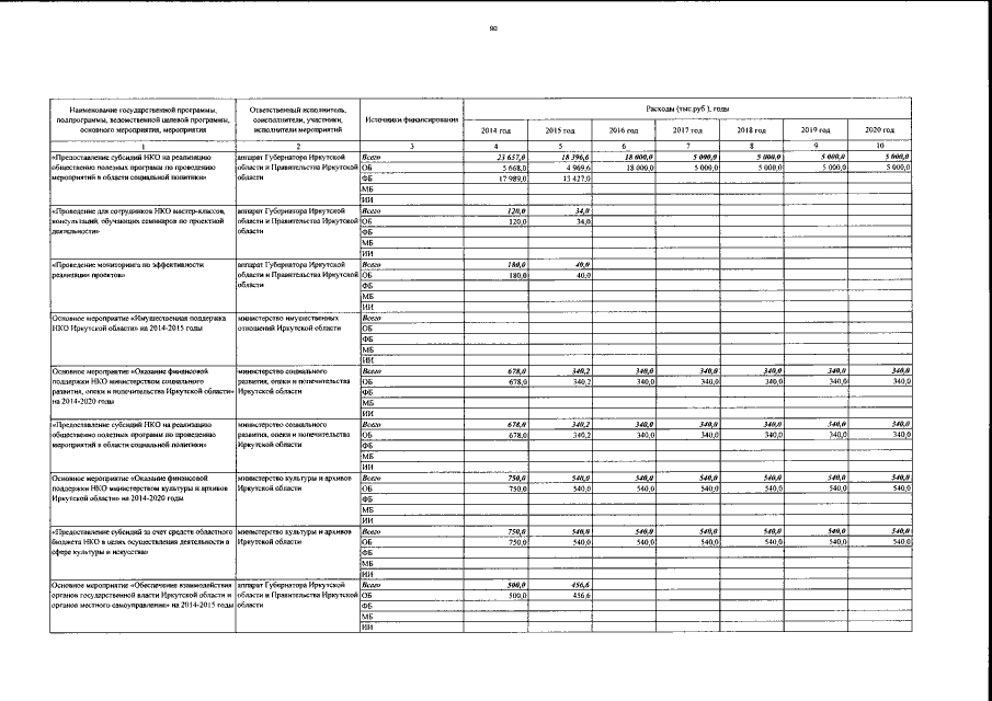
Постановление Правительства Иркутской области от 18.11.2016 № 745-пп
"О внесении изменений в постановление Правительства Иркутской области от 24 октября 2013 года № 437-пп"
Номер опубликования: 3800201611240003
Дата опубликования: 24.11.2016
Страница №130 из 143:
Увеличить