Официальное опубликование правовых актов
ОФИЦИАЛЬНОЕ ОПУБЛИКОВАНИЕ
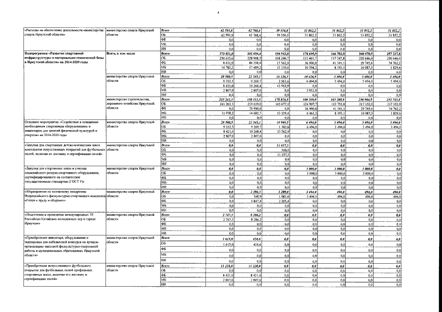
Постановление Правительства Иркутской области от 18.11.2016 № 741-пп
"О внесении изменений в постановление Правительства Иркутской области от 24 октября 2013 года № 458-пп"
Номер опубликования: 3800201611220011
Дата опубликования: 22.11.2016
Страница №33 из 45:
Увеличить