Официальное опубликование правовых актов
ОФИЦИАЛЬНОЕ ОПУБЛИКОВАНИЕ
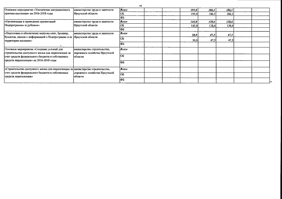
Постановление Правительства Иркутской области от 17.11.2016 № 735-пп
"О внесении изменений в постановление Правительства Иркутской области от 24 октября 2013 года № 449-пп"
Номер опубликования: 3800201611220010
Дата опубликования: 22.11.2016
Страница №44 из 56:
Увеличить