Официальное опубликование правовых актов
ОФИЦИАЛЬНОЕ ОПУБЛИКОВАНИЕ
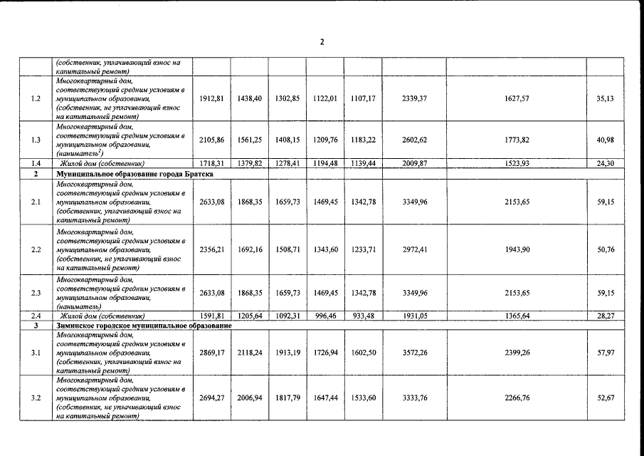
Постановление Правительства Иркутской области от 21.10.2016 № 676-пп
"О внесении изменения в размеры регионального стандарта стоимости жилищно-коммунальных услуг, дифференцированной по муниципальным образованиям Иркутской области, на 2016 год"
Номер опубликования: 3800201610240002
Дата опубликования: 24.10.2016
Страница №3 из 140:
Увеличить