Официальное опубликование правовых актов
ОФИЦИАЛЬНОЕ ОПУБЛИКОВАНИЕ
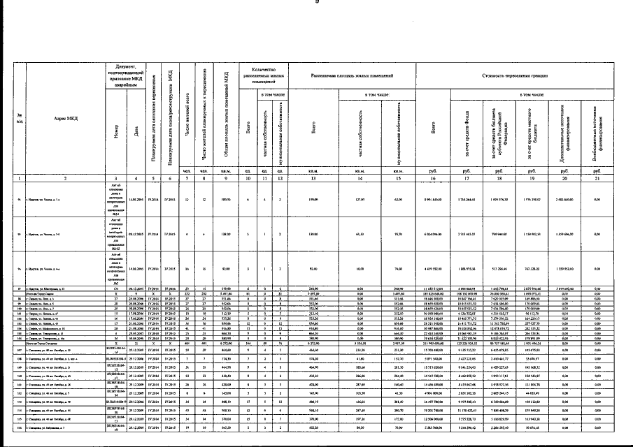
Постановление Правительства Иркутской области от 25.08.2016 № 512-пп
"О внесении изменения в региональную адресную программу Иркутской области "Переселение граждан, проживающих на территории Иркутской области, из аварийного жилищного фонда, признанного непригодным для проживания, в 2013 - 2017 годах"
Номер опубликования: 3800201608300004
Дата опубликования: 30.08.2016
Страница №28 из 78:
Увеличить