Официальное опубликование правовых актов
ОФИЦИАЛЬНОЕ ОПУБЛИКОВАНИЕ
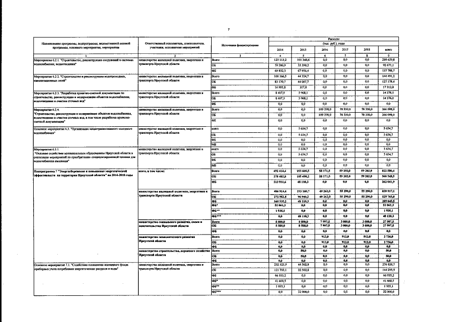
Постановление Правительства Иркутской области от 30.05.2016 № 328-пп
"О внесении изменений в государственную программу Иркутской области "Развитие жилищно-коммунального хозяйства Иркутской области" на 2014-2018 годы"
Номер опубликования: 3800201606070001
Дата опубликования: 07.06.2016
Страница №54 из 67:
Увеличить