Официальное опубликование правовых актов
ОФИЦИАЛЬНОЕ ОПУБЛИКОВАНИЕ
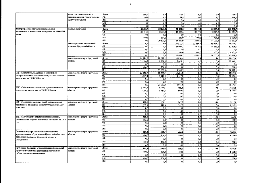
Постановление Правительства Иркутской области от 30.05.2016 № 323-пп
"О внесении изменений в государственную программу Иркутской области "Молодежная политика" на 2014 - 2018 годы"
Номер опубликования: 3800201606030010
Дата опубликования: 03.06.2016
Страница №35 из 50:
Увеличить