Официальное опубликование правовых актов
ОФИЦИАЛЬНОЕ ОПУБЛИКОВАНИЕ
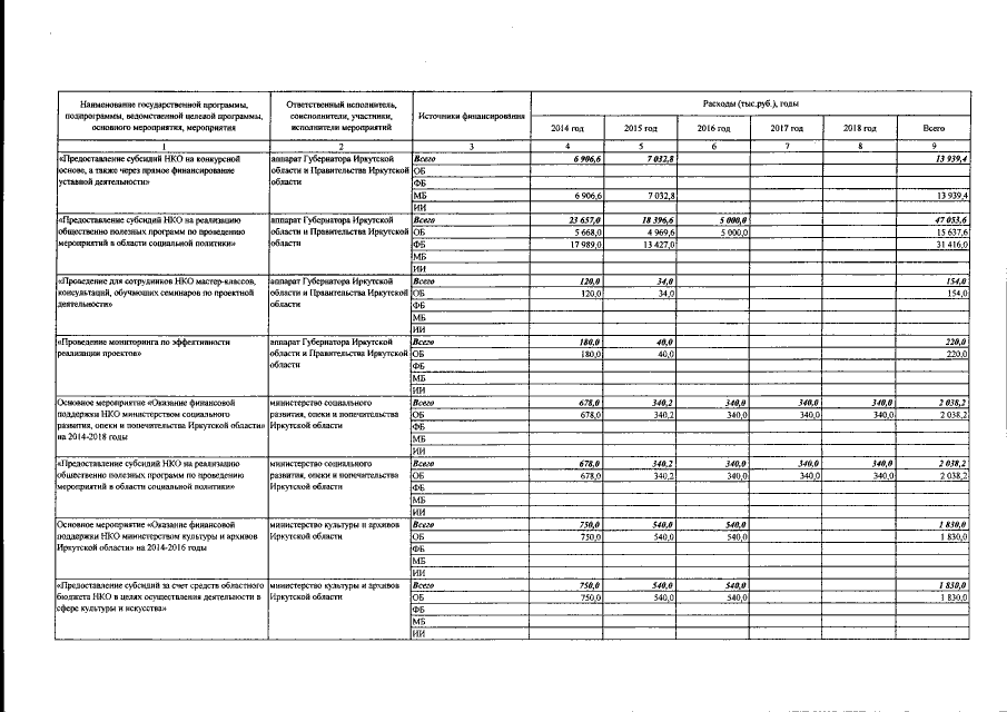
Постановление Правительства Иркутской области от 27.05.2016 № 312-пп
"О внесении изменений в государственную программу Иркутской области "Социальная поддержка населения" на 2014 - 2018 годы"
Номер опубликования: 3800201606010004
Дата опубликования: 01.06.2016
Страница №101 из 115:
Увеличить