Официальное опубликование правовых актов
ОФИЦИАЛЬНОЕ ОПУБЛИКОВАНИЕ
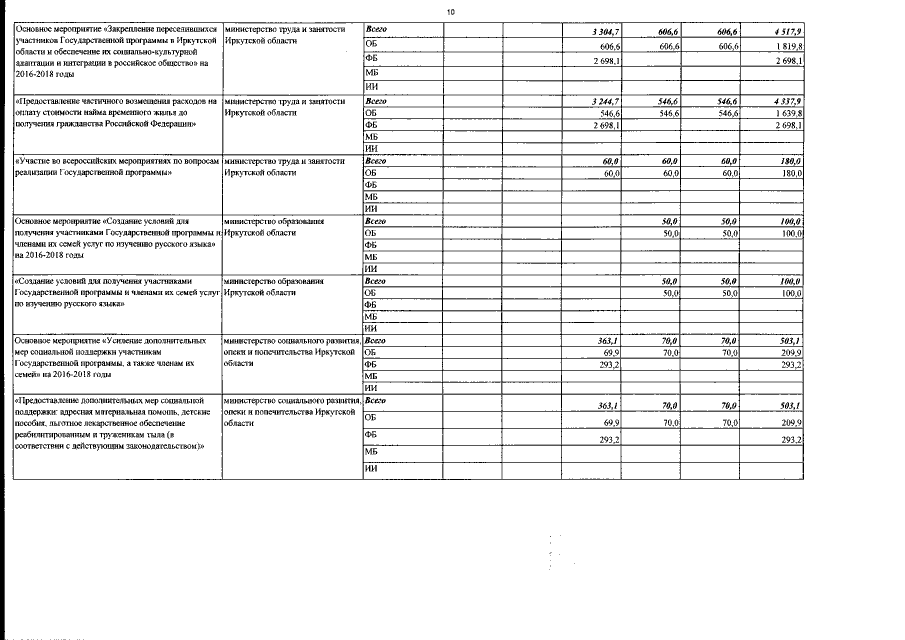
Постановление Правительства Иркутской области от 20.05.2016 № 292-пп
"О внесении изменений в государственную программу Иркутской области "Труд и занятость" на 2014-2018 годы"
Номер опубликования: 3800201605240008
Дата опубликования: 24.05.2016
Страница №58 из 59:
Увеличить