Официальное опубликование правовых актов
ОФИЦИАЛЬНОЕ ОПУБЛИКОВАНИЕ
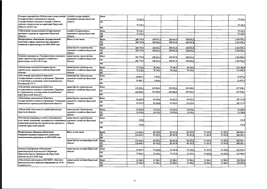
Постановление Правительства Иркутской области от 05.04.2016 № 186-пп
"О внесении изменений в государственную программу Иркутской области "Экономическое развитие и инновационная экономика" на 2015-2020 годы"
Номер опубликования: 3800201604070002
Дата опубликования: 07.04.2016
Страница №42 из 65:
Увеличить