Официальное опубликование правовых актов
ОФИЦИАЛЬНОЕ ОПУБЛИКОВАНИЕ
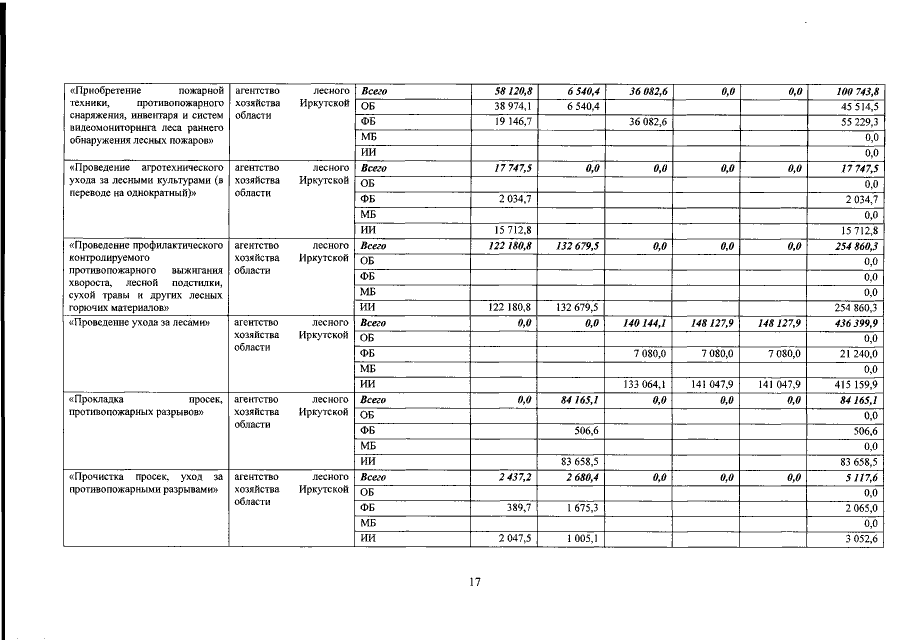
Постановление Правительства Иркутской области от 15.03.2016 № 127-пп
"О внесении изменений в государственную программу Иркутской области "Охрана окружающей среды" на 2014-2018 годы"
Номер опубликования: 3800201603210003
Дата опубликования: 21.03.2016
Страница №58 из 67:
Увеличить