Официальное опубликование правовых актов
ОФИЦИАЛЬНОЕ ОПУБЛИКОВАНИЕ
Постановление Правительства Иркутской области от 29.02.2016 № 105-пп
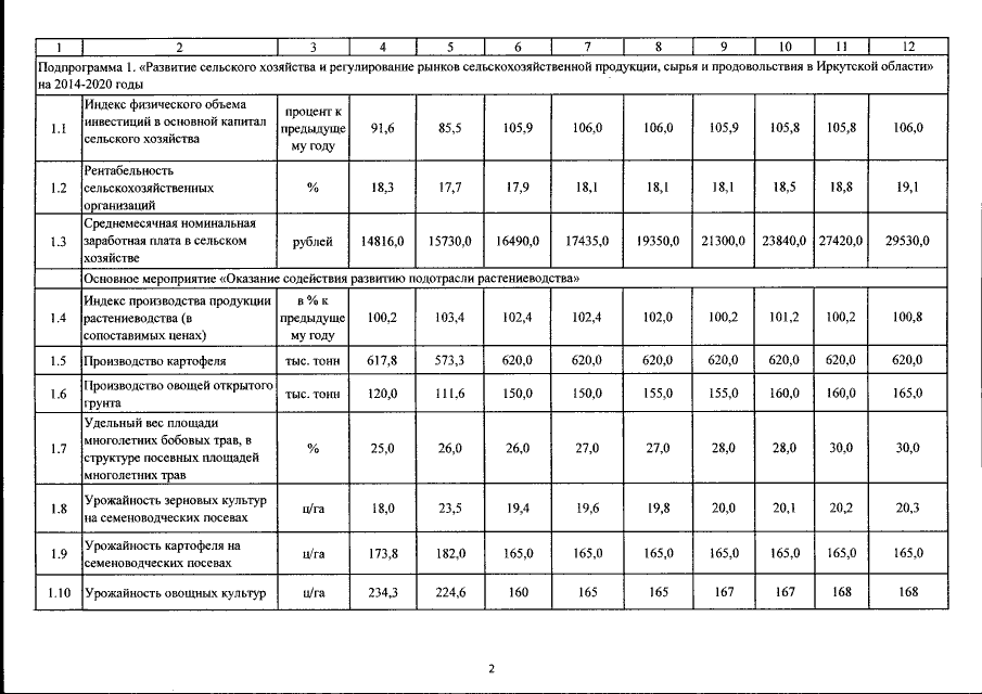
"О внесении изменений в государственную программу Иркутской области "Развитие сельского хозяйства и регулирование рынков сельскохозяйственной продукции, сырья и продовольствия" на 2014-2020 годы"
Номер опубликования: 3800201603040007
Дата опубликования: 04.03.2016
Страница №131 из 227:
Увеличить